扫地僧站群提供技术支持

天德百科网

  • 首页
  • 热门
  • 百科
  • 知识
  • 科普
  • 生活
  • 百科全书
  • 经验分享
  • 资讯

太原各校高中录取分数线如何划定 太原市中考分数线

2026-01-16 14:28 11K 1

一、太原各校高中录取分数线如何划定

1、太原市各校高中录取分数线是根据所有孩子题型的难度考试的分数,每个学生报考学校的志愿来定分数线,每个学校的招生人数来划定。

2、三大校的分数每年最高,因为中考是估分报志愿 ,有些学校报的人数多,学校招生计划是有限的,分数就自然高, 报的人数少,分数肯定低!

二、山西2023年中考分数线预测

国家教育改革,中考难度减低,覆盖知识面多,2021年太原市普高分数线440分2022年465分,2023年基本在470分,如果要重点高中的话在570分有可能,几大名牌高中610分有机会。

三、2021年太原市中考科目分值

1、

2021年太原市中考各科总分是730分,其中语文满分120分,数学满分120,英语满分120分,理科综合150分,其中物理满分80分,化学满分70分,文科综合150分,其中政治满分75分,历史满分75分。体育满分50分,物理化学实验操作满分10分,信息考试满分10分。

2、

3、在太原如果想考上山大附中,省实验中学,太原五中这样的三大名校,一般录取分数在690左右,如何实现这样的目标呢?第一,体育,实验,和计算机必须得的满分,这就是70分。第二,语文不能低于110,作文几乎要满分,或者很少丢分。数学不能低于114,除了最后一道压轴题动点问题和填空题最后一道,其他的几乎都要得满分。外语不得低于114,作业必须是书写优美的衡水体,否则很难得满分。第三,物理不能低于75,化学必须要接近满分,这就要求答题一定要严谨规范。第四,政治和历史不能低于67分,这两课选择题必须要全对。满足以上四点,祝贺你,基本就可以考上三大校了。

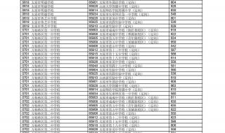
太原市中考分数线

4、

太原市中考分数线

5、

四、2022太原中考分数线算体育分吗

1、算。

2、2022年我省中考取消体育、信息技术和理化试验三门考试后,总分660分。太原市将今年普通高中最低录取控制线定为460分。其中,普通高中招生录取办法和往年相同,普通高中体育、艺术类特长生录取时,考生中考成绩和专业成绩必须达到一定分数线,才可投档。

五、2021年太原市中考录取分数线多少

2021年中考分数线是要等6月22日后中考结束了才能确定的,因为2021年太原的中考工作还没有进行,所以2021年太原中考录取分数线目前还无法确定!

天德百科网
天德百科网-开启智慧之门,走向光明未来分享生活经验知识,是您实用的生活科普指南,提供热门美食百科大全、知识百科大全、科技百科大全、综合百科网站。
推荐阅读
  • 2019世界排名前十乒乓球运动员 乒乓球国手排名
  • 2022卡塔尔世界杯金靴 2022世界杯最佳射手榜排名
  • 2016年里约女排表现 2016年女排大奖赛丁霞数据
  • 怎么能看到行者合金直播 行者合金尼泊尔
  • 车载mv用格式工厂转换mpg格式一般屏幕大小通用的是多少,比特率是多少 mpg格式转换
  • 先生再见陈瑞原唱是哪一年发行的 先生再见歌曲
  • dnf韩服手游一周年抽奖券怎么用 dnf怎么抽奖
  • 手动齿条压力机和杠杆式哪个好 压力机手动
  • 馥佩护肤品怎么样2020年 馥佩怎么样
  • 被称为东方第一县是那个城市 华夏东极是哪个城市
评论 (1)
取消
  • 天德百科网

    本文《太原各校高中录取分数线如何划定 太原市中考分数线》希望能帮助到你!

    2026年01月
热门文章
北京北到北京西需要多长时间 北京北站到北京西站
156
数字人民币哪里预约 苏州数字人民币红包
181
开头是熙熙攘攘什么什么的这是哪首歌 熙熙攘攘的人海之中
116
山东烟台成年男性平均身高 山东男生平均身高
123
查高中录取通知书快递怎么查询 通知书快递查询
156
英雄联盟的背景故事 英雄联盟琴瑟仙女
185
中国足球史上十大巨星排名 中国2021足球明星
120
小牛向前冲的主题曲 小牛向前冲主题曲
185
顺丰快递收件人电话写错怎么办 顺丰电话打不通
118
7D影院怎么样和4d有什么差别 7d影院设备
139
文章推荐
荐 长公主在上侍卫扮演者 夏夏扮演者
荐 学技术还是到中专,技校,培训中心,哪个好 专业技能培训学校
荐 鳄鱼恤和沙驰男装哪个好 鳄鱼恤皮鞋
荐 西安多多买菜总部仓库 西安库房出租
荐 上海内环外环是怎么划分的 上海外环是哪些区域
荐 2012奥运会足球队有哪几支 2012美国vs尼日利亚
荐 香猪和长白猪杂交留母猪行吗 香猪种猪多少钱一只
荐 lol游戏里面没有声音怎么办 lol六杀音效
荐 PS2战神1雅典城楼那关有2个藤蔓柱子需要攀爬,从第2跟跳第2跟怎么搞 ps2战神2攻略
荐 跟强迫症的人相处简直要发疯 他发疯似的要她
荐 超声波焊接管道的方法 塑料超声波焊接
荐 抗癌药有哪些 我国研发抗癌新药
荐 新声代蓝牙耳机使用说明 中国新声代2
荐 nbla是什么联赛 nbl是什么级别的联赛
Copyright © 2018-2026 天德百科网. All rights reserved. Designed by 扫地僧站群技术支持. ICP备案号
  • 金华市分站
  • 张家港市分站
  • 友情链接
  • 扫地僧站群
  • SEO学习网
    • 首页
    • 热门
    • 百科
    • 知识
    • 科普
    • 生活
    • 百科全书
    • 经验分享
    • 资讯